yabo88 關於印發梅州市重汙染天氣應急預案(2019年修訂版)的通知
yabo88 關於印發梅州市重汙染天氣應急預案(2019年修訂版)的通知
各縣(市、區)人民政府(管委會),市府直屬和中央、省屬駐梅各單位:
《梅州市重汙染天氣應急預案(2019修訂版)》已經市人民政府同意,現印發給你們,請認真貫徹執行。執行過程中遇到的問題,請徑向市生態環境局反映。
yabo88
2020年2月18日
梅州市重汙染天氣應急預案
(2019年修訂版)
⒈ 總則
1.1 編製目的。
為建立健全重汙染天氣監測預測、預警預防、應急處置和應急救援的高效應急反應機製,有效預防、減少可能發生的重汙染天氣,及時采取強化防控應對措施,消除重汙染天氣過程影響,提升應對重汙染天氣工作能力和重汙染天氣防控管理水平,有效應對區域性重汙染天氣,最大限度控製和減緩重汙染天氣造成的危害,保障人民群眾身體健康。
1.2 編製依據。
《中華人民共和國環境保護法》《關於推進重汙染天氣應急預案修訂工作的指導意見》(環辦大氣函〔2018〕875號)》《關於印送關於推進重汙染天氣應急預案修訂工作的指導意見的函(環辦大氣函〔2018〕875號)》《廣東省突發事件總體應急預案》《廣東省突發環境事件應急預案》《廣東省打好汙染防治攻堅戰三年行動計劃(2018—2020年)》《廣東省打贏藍天保衛戰實施方案(2018—2020年)》《梅州市打好汙染防治攻堅戰三年行動計劃(2018—2020年)》《梅州市突發公共事件總體應急預案》及其它相關法律、法規、標準、文件等。
1.3 適用範圍。
本預案適用於梅州市行政區域內重汙染天氣應對工作。重點區域為梅州市城市規劃區(梅州市中心城區)範圍。
1.4 工作原則。
1.4.1以人為本、預防為主、防控結合。把保障人民群眾身體健康作為重汙染天氣應急工作的出發點和落腳點,建立健全監測、預測、預防和預警體係,對可能出現的重汙染天氣采取有效防控措施,加強日常大氣汙染防治工作,不斷促進環境空氣質量改善。
1.4.2統一指揮、屬地管理、分工負責。市政府成立市大氣汙染應急領導小組,組織、協調、指揮大氣汙染預警與應急響應工作。市有關部門和各縣(市、區)人民政府按職能製定相應的工作方案,密切配合、分工協作,確保應急措施落實到位。
1.4.3加強預警、提前響應、注重成效。加強環境空氣質量和氣象條件的日常監測,及時準確把握環境空氣質量和氣象條件的變化情況;加強重汙染天氣預報、預警工作,開展汙染過程的趨勢分析和研判;建立不同級別的汙染等級及相應的應急措施,健全優化應急預警與響應流程,提高時效性。
1.4.4信息共享、部門聯動、社會參與。健全全市各級和各部門互聯共享的信息網絡,確保信息傳遞快速、通暢;加強各級應急指揮機構和各成員單位的協調聯動配合,高效開展空氣汙染應急處置的相關工作。
⒉ 組織體係
2.1市大氣汙染應急領導小組。
成立梅州市大氣汙染應急領導小組,負責組織、協調和指揮大氣汙染應急處置工作。
領導小組組長:市委市政府分管生態環境工作的領導。
領導小組副組長:市委市政府協調生態環境工作的副秘書長或領導,市生態環境局局長。
成員單位:市委宣傳部、市發展改革局、市工業和信息化局、市教育局、市科技局、市公安局、市財政局、市人力資源社會保障局、市體育局、市住房城鄉建設局、市交通運輸局、市水務局、市農業農村局、市衛生健康局、市生態環境局、市文化廣電旅遊局、市應急管理局、市市場監管局、市氣象局、市公路事務中心、梅州供電局,梅州高新區管委會、各縣(市、區)人民政府。
應急領導小組各成員單位按照職責分工製定本部門、本轄區的實施細則或者工作方案,明確應急工作職責與應急工作流程,報市大氣汙染應急管理辦公室備案。本預案應急響應時,各成員單位根據應急響應級別,按領導小組統一部署和各自職責,主動配合做好重汙染天氣應急處置工作。
2.1.1各成員單位職責。
(1)市委宣傳部:負責統籌協調重汙染天氣應急宣傳和新聞發布工作,做好對下屬文化宣傳係統的組織協調工作,形成正確的輿論導向。
(2)市發展改革局:配合做好重汙染天氣防治重點項目的實施;協調做好重汙染天氣的預警、預測工程的規劃工作。推進可持續發展戰略,研究分析經濟社會與資源、環境協調發展重大問題,牽頭組織擬訂節能減排中長期規劃及綜合性工作方案,綜合協調節能和應對氣候變化相關工作;參與編製生態建設、環境保護規劃,協調生態建設、能源資源節約和綜合利用的重大問題。
(3)市工業和信息化局:配合市生態環境局督促、協調相關工業企業製定重汙染天氣應急預案,配合市生態環境局製定減少工業企業大氣汙染物排放量的應急措施;配合協調落實工業企業限產、停產減排措施;並協助各職能部門監督檢查其實施情況。配合市生態環境局製定限產、停產、減排企業名單及汙染源清單。
(4)市教育局:負責組織市內教育機構開展重汙染天氣防護教育和應急演練;依據重汙染天氣應急響應級別製訂、實施中小學和幼兒園停止戶外活動和停課應急行動方案。
(5)市科技局:負責統籌大氣汙染預測預警的專業基礎研究、為重汙染天氣監測預警係統的關鍵技術提供課題支撐;為重汙染天氣專家會商工作組提供專家名錄。
(6)市公安局:負責組織實施機動車限行措施,查處上路行駛的冒黑煙車輛,並聯合市生態環境局加強對高汙染排放車輛的檢查。對重大大氣汙染事故的立案調查。做好重汙染天氣社會秩序的維護。
(7)市財政局:負責統籌安排重汙染天氣減排項目清單更新、監測預警係統建設資金和應急處置資金,做好經費的審核、劃撥及其監督管理工作。
(8)市人力資源社會保障局:負責組織指導技工學校開展重汙染天氣應急知識宣傳教育和應急演練;協助提供保證預案執行的人力資源。
(9)市生態環境局:負責空氣質量監測;會同市氣象局做好汙染趨勢的分析、預測和研判等會商,做好重汙染天氣預警及信息發布工作;組織製定應急處置措施,提出控製重汙染天氣和防止事態擴大的建議;負責對排汙企業的環境監管,倡導社會各界自覺參與汙染減排,根據情況製定和更新限產、停產、減排企業名單。組織擬訂應對氣候變化的規劃和對策;配合有關部門做好新聞發布工作。
(10)市體育局:依據重汙染天氣應急響應級別合理安排群眾活動和體育賽事。
(11)市住房城鄉建設局:負責組織落實城市建築施工、市政道路施工各項揚塵控製措施,督促建築施工工地、拆遷工程加強施工場地揚塵管理,推進應急條件下停工停建製度的建立和落實,負責對占道或者流動性經營的露天燒烤、泥頭車遺撒等違法行為的查處執法;做好應急期間建築工地強化管理、渣土運輸處置及道路機械化清掃(衝洗)保潔作業。
(12)市交通運輸局:負責應急啟動時公共交通運力的保障;配合相關單位對大型營運車輛汙染大氣情況進行監督檢查,督促運營車輛、港口的重汙染天氣控製措施的落實。
(13)市水務局:負責配合市住房城鄉建設局和市環境衛生管理局對道路清掃、灑水工作的資源調配。
(14)市農業農村局:負責禁止農作物秸稈等生物質及農業垃圾的違規露天焚燒等大氣汙染控製措施的落實。
(15)市文化廣電旅遊局:負責協調廣播電視播出機構對重汙染天氣應急預案、大氣環境保護、衛生安全防護指引等內容的宣傳和發布,開展健康防護、公民和企業自願控製措施的宣傳工作。
(16)市衛生健康局:負責組織、協調應急響應時的醫療救治工作,組織開展人群衛生防護和救助常識宣傳工作。
(17)市氣象局:負責氣象條件的預測分析,為空氣監測網絡提供氣象數據;會同生態環境部門建立汙染天氣監測預警體係,會商研判重汙染天氣趨勢,聯合開展空氣質量的預報預警。
(18)市市場監管局:配合市生態環境局、市工業和信息化局等有關部門加強對大氣汙染物排放企業的監管。配合市生態環境局製定限產、停產、減排企業名單及汙染源清單。配合市生態環境局加強鍋爐汙染減排工作。
(19)市應急管理局:嚴格落實危險化學品企業的安全生產綜合監督管理,指導和督促重點汙染企業做好暫停、限產時的安全生產工作;協同市公安局指導和督促實施禁止燃放煙花爆竹措施。配合重汙染天氣的應急演練、應急響應、調查評估、信息發布、應急保障和救助救援等工作。
(20)市公路事務中心:督促國、省道運營車輛的大氣汙染控製措施的落實,配合相關單位對國、省道大型營運車輛汙染大氣情況進行監督檢查。
(21)梅州供電局:負責組織落實對重點排汙企業的限電措施;做好電力調配工作;負責組織落實電力工程揚塵控製措施。
(22)梅州高新區管委會:配合落實重汙染天氣應急響應汙染物減排、停排工作。
(23)各縣(市、區)人民政府:負責轄區內重汙染天氣應對工作,明確轄區內各部門職責並組織開展各項措施的落實工作;組織修訂並落實本轄區重汙染天氣應急預案。
2.2市大氣汙染應急管理辦公室。
市大氣汙染應急領導小組下設市大氣汙染應急管理辦公室,作為重汙染天氣應急指揮工作辦事機構。辦公室設在市生態環境局。
市大氣汙染應急管理辦公室負責貫徹市大氣汙染應急領導小組的批示和部署,負責大氣汙染預報預警工作,確定預警與應急響應等級;組織、協調重汙染天氣應急處置工作;綜合監督、指導各成員單位和各縣(市、區)大氣汙染應急處置工作的落實;督促成員單位及重點企業響應應急預案措施;組織轄區內重汙染天氣應急演練;組織、協調重汙染天氣應急預案編製修訂工作;承擔應急領導小組交辦的其他工作。
2.3市大氣汙染應急工作小組。
市大氣汙染應急管理辦公室下設監測預警工作組、應急處置工作組、專家會商工作組、新聞宣傳工作組、檢查督導工作組、後勤保障工作組。
(1)監測預警工作組。
由市生態環境局及市氣象局組成,在市生態環境局設立大氣汙染監測預警中心;負責建設、完善維護空氣監測網絡,建立空氣汙染實時監測與預警預報係統,對環境空氣質量和氣象監測數據及預警預報結果進行實時監控和分析,對監測結果進行核實,會同專家組及時分析汙染趨勢,在達到預警級別時將監測結果報大氣汙染應急管理辦公室。
(2)應急處置工作組。
由市生態環境局、市發展改革局、市工業和信息化局、市公安局、市住房城鄉建設局、市交通運輸局、市農業農村局、市林業局、市氣象局及市環境衛生管理局等相關部門指派兩名以上工作人員組成;負責應急處置和查處大氣汙染違法行為,負責對全市大氣汙染源的監督檢查與控製。
(3)專家會商工作組。
專家會商工作組由大氣汙染防治、氣象、應急、環境監測、衛生防護等方麵的專家組成,參與汙染天氣監測、預報、預警、響應及總結評估,為重汙染天氣應急管理提供決策支撐與技術指導,必要時參與應急處置工作。
(4)新聞宣傳工作組。
由市委宣傳部、市工業和信息化局、市住房城鄉建設局、市教育局、市生態環境局、市文化廣電旅遊局、市衛生健康局、市氣象局和各縣(市、區)人民政府等單位組成;負責對重汙染天氣應急預案、大氣環境保護與衛生安全防護指引進行相應的宣傳,負責預警與響應時的新聞發布和宣傳及輿情引導。
(5)檢查督導工作組。
由市大氣汙染應急管理辦公室各成員單位抽調人員組成;指導各轄區、各有關部門、相關企業啟動與實施應急預案。負責對預案實施情況與實施效果進行評估,考核成員單位的工作成效,對工作優秀的單位和個人進行獎勵,對未落實響應任務的單位和個人進行處罰問責。
(6)後勤保障工作組。
由市委宣傳部、市財政局、市生態環境局、市發展改革局、市科技局、市人力資源社會保障局、市交通運輸局、市水務局、市文化廣電旅遊局、市市場監管局、市應急管理局、梅州供電局和各縣(市、區)人民政府等單位組成;為應急預案的落實提供人力資源、財政資金、監測與預警能力、通訊與信息等保障,根據工作需要而確定的其他保障措施。
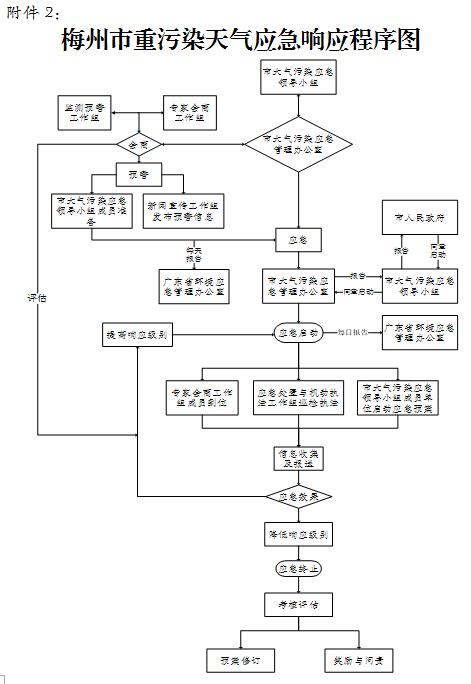
⒊ 運行機製
3.1監測預警。
3.1.1監測。
市生態環境、氣象部門按照“早發現、早報告、早處置”的原則,聯合做好空氣質量和環境氣象常規監測、數據收集、綜合分析、風險評估等工作,相關信息及時報告省領導小組辦公室;當出現重汙染天氣時,每日跟蹤掌握環境空氣質量和氣象條件的變化情況,開展應急監測,結合曆史數據、應急管控措施落實情況對未來趨勢做出科學預判,為應急預警、響應工作提供決策依據。市生態環境局和市氣象局負責市區環境空氣質量及氣象監測信息的接收、統計分析、預測預報,各縣(市、區)負責屬地環境空氣質量及氣象監測信息的統計分析和預測預報工作。市生態環境局和市氣象局共享信息資料,並結合實時和曆史空氣質量狀況及大氣汙染源排放情況,對未來空氣質量及氣象條件變化趨勢進行預測。
3.1.2預警。
按照環境空氣質量預測結果,以及環境空氣汙染的發展趨勢、嚴重性和緊急程度,根據《環境空氣質量指數(AQI)技術規定(試行)》(HJ633—2012)的定義及梅州市曆年來城市空氣環境數據和管理目標要求,將預警等級劃分為4級預警,分級如下:
(1)Ⅳ級(藍色)預警:預測AQI日均值>200將持續1天(24小時)及以上,或短時(小時均值)出現重度汙染,但未達到高級別預警條件。
(2)Ⅲ級(黃色)預警:預測AQI日均值>200將持續2天(48小時)及以上,且短時(小時均值)出現重度汙染,但未達到高級別預警條件;或預測臭氧日最大8小時濃度>215μg/m³將持續1天。
(3)Ⅱ級(橙色)預警:預測AQI日均值>200將持續3天(72小時)及以上,且未達到高級別預警條件;或預測臭氧日最大8小時濃度>215μg/m³將持續2天。
(4)Ⅰ級(紅色)預警:預測AQI日均值>200將持續4天(96小時)及以上,且預測AQI日均值>300將持續2天(48小時)及以上;或預測AQI日均值達到500;或預測臭氧日最大8小時濃度>215μg/m³將持續3天。
3.1.3預警發布與解除。
監測預警工作組與專家會商工作組對空氣質量及氣象條件進行潛勢分析,當預測到未來空氣質量可能達到相應級別預警啟動條件或者空氣質量已經達到嚴重汙染且預測未來24小時內不會有明顯改善時,由市大氣汙染應急管理辦公室按程序報請市大氣汙染應急領導小組領導審核同意後,統一發布空氣汙染預警相關信息,並報送市政府備案。
當預測發生前後兩次重汙染過程,且間隔時間未達到解除預警條件時,按一次重汙染過程計算,從高級別啟動預案。當預測或者監測空氣質量達到更高幾倍預警條件時,提前采取升級措施。
當空氣質量改善到相應級別預警啟動標準以下,且預測將持續36小時以上時,可以降低預警級別或者解除預警的,經大氣汙染應急領導小組批準,由大氣汙染應急管理辦公室負責降低或解除預警並建議解除響應措施。
各縣(市、區)人民政府應當根據收集到的信息對重汙染天氣進行預判,啟動相應預警,並兩小時內將本轄區重汙染天氣預警信息上報大氣汙染應急管理辦公室。
3.1.4預警措施。
針對不同的預警等級,市大氣汙染應急管理辦公室組織各成員單位采取相應的預警措施:
(1)Ⅳ級預警措施。及時通過廣播、電視、網絡、報刊等媒體方式向社會發布消息,告知公眾主動采取自我防護措施。
(2)Ⅲ級預警措施。及時通過廣播、電視、網絡、報刊等媒體方式向受影響區域公眾發布消息,告知公眾主動采取自我防護措施。
(3)Ⅱ級預警措施。在Ⅲ級預警措施的基礎上,提出針對不同人群的健康保護和出行建議,特別是提醒易感人群做好防護。
(4)Ⅰ級預警措施。在采取Ⅱ級預警措施的基礎上,要求值班人員24小時上崗、保持通訊暢通,加強監控,對重汙染天氣可能發生的時間、地點、範圍、強度、移動路徑的變化及時做出預測預報,增加向社會公眾發布通告的頻次。
針對不同的區域預警等級,各級人民政府及有關部門做好應急響應的準備工作。學校、醫院、體育場(館)、機場、車站、旅遊景區(點)等重點區域和人員密集場所,應做好重汙染天氣預警信息接收和傳播工作。
3.2應急處置。
3.2.1信息報告。
市大氣汙染應急管理辦公室接到重汙染天氣報告後,根據重汙染天氣影響的範圍和程度,組織相關成員單位進行會商並將會商結果谘詢專家組意見,形成應急響應建議後由市大氣汙染應急管理辦公室向市大氣汙染應急領導小組報告。確定啟動應急響應後,兩小時內按有關程序向上報告。
當各縣(市、區)發生重汙染天氣時,應當及時啟動各縣(市、區)重汙染天氣應急,執行預案中相應等級的響應措施,並在兩小時內向市大氣汙染應急管理辦公室報告。
3.2.2 響應啟動。
市大氣汙染應急領導小組根據重汙染天氣應急響應建議或環境空氣質量達標管理的要求,適時啟動區域響應級別。根據預警與應急響應級別采取相應的汙染應急措施,包括健康防護措施、建議性汙染減排措施和強製性汙染減排措施。
應急處置工作組根據響應級別對大氣汙染行為加強監督查處,增加執法和巡查頻次,可根據實際需要,釆取一種或多種措施進行應急響應;在保障城市正常運行的前提下,釆取更加嚴格的強製性汙染減排措施實施應急響應,並明確啟動響應的時間、範圍、通知方式、監督內容等。
3.2.2.1 Ⅳ級響應措施。
(1)健康防護措施:
①提醒兒童、老年人及心髒病、呼吸係統疾病患者以及特異體質者減少晨練等體力消耗的戶外運動。
②中小學、幼兒園盡量少進行體育課、課間操、運動會等戶外運動。
(2)汙染減排措施:
①加強城區道路揚塵管控措施,增加道路灑水、噴霧保潔保濕作業和道路清掃保潔頻次。[責任單位:市住房城鄉建設局、市生態環境局,各縣(市、區)人民政府、相關企業單位]
②預測出現顆粒物為主要汙染物,應加大對建設工地揚塵防護措施落實的現場檢查;加大對廢氣排放工業企業的執法檢查頻次。[責任單位:市住房城鄉建設局、市生態環境局,各縣(市、區)人民政府、相關企業單位]
③預測出現臭氧為主要汙染物,應要求建設工地暫停使用和建議單位、公眾室內裝修減少使用含揮發性有機物的塗料、油漆、溶劑等原材料及產品。加大對揮發性有機物排放單位和城區周邊加油站等的執法檢查頻次。加大對柴油機動車排放廢氣和建設工地使用非道路移動機械的執法檢查頻次。[責任單位:市生態環境局、市住房城鄉建設局、市公安局,各縣(市、區)人民政府、相關企業單位]
④加大對露天焚燒農作物秸稈、樹葉、垃圾等廢棄物的巡查力度;禁止城區內露天燒烤。[責任單位:市公安局、市生態環境局、市農業農村局、市住房城鄉建設局、市林業局,各縣(市、區)人民政府]
3.2.2.2Ⅲ級響應措施。
(1)健康防護措施:
①提醒兒童、老年人及心髒病、呼吸係統疾病患者以及特異體質者應當留在室內,避免晨練等戶外運動的體力消耗。
②室外作業人員減少室外作業時間。
③中小學、幼兒園減少體育課、課間操、運動會等戶外運動。
(2)建議性汙染減排措施:
①倡導公眾節約用電。
②出行盡量乘坐公共交通工具,減少汽車上路行駛。
③暫停重大群眾戶外體育賽事。
④禁止野外焚燒。
(3)強製性汙染減排措施:
按照附件7 重汙染天氣應急減排項目清單的要求,對相關汙染物排放企業進行限產、減產,確保相應汙染物減排比例不低於10%。
①按重汙染天氣應急減排項目清單要求建設工程停止產生揚塵工藝作業,並做好場地灑水降塵工作。采取相應措施,保持道路、煤堆場、砂石堆場和施工工地等裸露場所濕潤。[責任單位:市住房城鄉建設局、市生態環境局,各縣(市、區)人民政府、相關企業單位]
②限製施工車輛的作業路線,避開居民生活區和人流集中區域,最大程度減少地麵起塵,增加道路保潔保濕頻次,增加道路清掃保潔頻次。[責任單位:市公安局、市交通運輸局、市住房城鄉建設局,各縣(市、區)人民政府]
③加大對燃煤鍋爐、機動車排放、工業企業等重點大氣汙染源的執法檢查頻次。當發生臭氧汙染時,按重汙染天氣應急減排項目清單內容,工業園區內涉揮發性有機物廢氣排放生產線停產。[責任單位:市發展改革局、市工業和信息化局、市生態環境局、市公安局、市交通運輸局,各縣(市、區)人民政府]
④加大對煙花爆竹燃放和露天焚燒農作物秸稈、樹葉、垃圾等廢棄物的查處力度;禁止露天燒烤。[責任單位:市公安局、市生態環境局、市農業農村局、市住房城鄉建設局、市林業局,各縣(市、區)人民政府]
⑤除特殊工藝、應急搶險工程外,停止所有建築工地室外作業,停止道路開挖、路麵整修、綠化種植、房屋拆除等作業。停止建築拆除工程(不產生揚塵的施工作業、搶險作業除外),因工程的特殊性需不間斷施工的,在確保采取飽和灑水降塵等措施的情況下,經相關職能部門同意後報大氣汙染應急管理辦公室備案。[責任單位:市住房城鄉建設局、市生態環境局、市交通運輸局、市公路事務中心,各縣(市、區)人民政府]
3.2.2.3Ⅱ級響應措施。
(1)健康防護措施:
參照3.2.2.2所列的健康防護措施執行外,增加以下措施:
①學校和幼兒園停止戶外活動。
②室外作業人員開展防護並減少室外作業時間。
③停止露天體育比賽活動及其他露天舉辦的群體性活動。
(2)建議性汙染減排措施:
參照3.2.2.2所列的建議性汙染減排措施執行,增加以下措施:排汙單位自覺調整生產周期,減少汙染物的排放。
(3)強製性汙染減排措施:
按照附件7 重汙染天氣應急減排項目清單的要求,對相關汙染物排放企業進行限產、減產,確保相應汙染物減排比例不低於20%。參照3.2.2.2所列的強製性汙染減排措施執行外,增加以下措施:
①水泥製造、物料混合攪拌企業粉塵排放工藝生產線停止生產,並做好場地灑水降塵工作。[責任單位:市發展改革局、市工業和信息化局、市住房城鄉建設局、市生態環境局,各縣(市、區)人民政府,相關企業單位]
②按重汙染天氣應急減排項目清單要求工業園區和梅州建城區範圍內涉揮發性有機物廢氣排放生產線停止生產,做好相關物料的封存,避免揮發性有機物泄漏。[責任單位:市發展改革局、市工業和信息化局、市生態環境局、市市場監管局,各縣(市、區)人民政府]
③市區內實行交通管製,按重汙染天氣應急減排項目清單要求黃牌柴油車、低速汽車禁止在市區內行駛。[責任單位:市公安局、市交通運輸局、市公路事務中心、各縣(市、區)人民政府]
④除特殊工藝、應急搶險工程外,停止所有建築工地室外作業,停止道路開挖、路麵整修、綠化種植、房屋拆除等作業。停止建築拆除工程(不產生揚塵的施工作業、搶險作業除外),因工程的特殊性需不間斷施工的,在確保采取飽和灑水降塵等措施的情況下,經相關職能部門同意後報大氣汙染應急管理辦公室備案。[責任單位:市住房城鄉建設局、市生態環境局、市交通運輸局、市公路事務中心,各縣(市、區)人民政府]
3.2.2.4 I級響應措施。
(1)健康防護措施:
參照3.2.2.3所列的健康防護措施執行外,增加以下措施:
①一般人群避免戶外活動,戶外活動應當采取佩戴口罩等防護措施;停止所有戶外大型活動。
②中小學和幼兒園必要時可以臨時停課。
③戶外作業者臨時停止戶外作業。
④企事業單位根據情況可實行彈性工作製。
(2)建議性汙染減排措施:
參照3.2.2.3所列的建議性汙染減排措施執行外,增加以下措施:
在條件允許的情況下,采取人工影響局部天氣措施,改善空氣環境質量。
(3)強製性汙染減排措施:
按照附件7 重汙染天氣應急減排項目清單的要求,對相關汙染物排放企業進行限產、減產,確保相應汙染物減排比例不低於30%。參照3.2.2.3所列的強製性汙染減排措施執行外,增加以下措施:
①市區內實行交通管製,嚴格執行黃牌車(含柴油車、汽油車)及低速汽車禁止在市區行駛措施;散裝建築材料、工程渣土、建築垃圾運輸車輛,冒黑煙的車輛以及黃標車車輛等禁止上路;原則上停駛1/2的公務用車(特種車及特殊情形用車除外)。[責任單位:市公安局、市生態環境局、市住房城鄉建設局、市交通運輸局、市公路事務中心,各縣(市、區)人民政府]
②除特殊工藝、應急搶險工程外,停止所有建築工地室外作業,停止道路開挖、路麵整修、綠化種植、房屋拆除等作業。停止建築拆除工程(不產生揚塵的施工作業、搶險作業除外),因工程的特殊性需不間斷施工的,在確保采取飽和灑水降塵等措施的情況下,經相關職能部門同意後報大氣汙染應急管理辦公室備案。[責任單位:市住房城鄉建設局、市生態環境局、市交通運輸局、市公路事務中心,各縣(市、區)人民政府]
③按重汙染天氣應急減排項目清單要求有關汙染排放企業停產限產。水泥、燃煤電廠、有色、陶瓷等重汙染的限排名單企業釆取限產、限汙或停產措施,減少汙染物排放;工業園區和梅州建城區範圍內涉揮發性有機物廢氣排放生產線停止生產,做好相關物料的封存,避免揮發性有機物泄漏,嚴禁各類大型連續生產裝置開停車、放空等作業。[責任單位:市生態環境局、市發展改革局、市工業和信息化局、市公安局、梅州供電局,各縣(市、區)人民政府]
④中小學和幼托機構參照本市應對極端天氣有關規定,停止室外體育課及戶外活動。(責任部門:市教育局)
⑤暫停露天大規模群眾活動和體育賽事。[責任單位:市文化廣電旅遊局、市體育局,各縣(市、區)人民政府]
3.2.3現場處置。
需要現場應急處置時由應急處置工作組組織實施,實行現場指揮官製度,由市大氣汙染應急領導小組組長指定現場指揮官,各有關單位按照職責參與應急處置工作。
3.2.4 響應終止。
根據專家會商工作組的分析報告,重汙染天氣相關威脅和危害得到控製、消除後,大氣汙染應急管理辦公室宣布降低急響應級別或終止響應,市大氣汙染應急領導小組成員單位和企事業單位根據實際情況終止應急行動。
3.3 執行與監督。
各有關單位收到應急響應指令後,按照本預案和相關工作方案,及時組織落實各項措施。市大氣汙染應急領導小組各成員單位在實施過程中依法加強監管,加大執法力度,並在預警和響應期間,按要求向市大氣汙染應急管理辦公室報送措施落實情況。
3.4總結評估。
應急終止後,各成員單位總結應急措施落實情況,報市大氣汙染應急管理辦公室。市大氣汙染應急管理辦公室組織專家和相關部門開展對應急響應的過程進行評價,及時查明重汙染天氣出現的原因與汙染擴散的過程,對重汙染天氣可能造成的後續環境影響進行評估,總結應急處置工作的經驗和教訓,提出重汙染天氣防治和應急響應的改進措施建議並及時修訂本預案。
3.5 信息公開。
預警和響應期間,市大氣汙染應急管理辦公室新聞宣傳工作組按照有關規定及時通過廣播、電視、網絡、報刊等媒體,公開有關信息。信息內容包括汙染狀況、來源成因、未來趨勢、已釆取措施,以及相應的健康防護建議等。
⒋ 應急保障
後勤保障工作組應當根據本預案的要求,切實保障本預案的後勤保障措施。
4.1 人力資源保障。
市生態環境局、市氣象局加強重汙染天氣應急的人才隊伍建設,提高環境監測與氣象預測預報人員技術水平,完善專家庫建設,確保在重汙染天氣出現時,能迅速參與並完成大氣汙染預報、應急監測、汙染控製、處理處置等應急工作。
4.2 落實經費保障。
市財政局對應急能力建設和設備維護、應急物資儲備、應急演練和汙染天氣事件的監測預警、監督檢查等各項工作提供資金保障。
4.3監測與預警能力保障。
根據城市發展按照相應規範增加監測點位,提高監測密度,同時根據實際需求增加汙染前驅物監測項目。規範監測子站的建設,建立監測網絡的質量管理體係,保證監測數據的準確性和精確性。
市生態環境局與市氣象局加強合作,加快空氣質量預報係統建設,提高預報結果的時效性和準確性,確保滿足預警應急的要求。加強大氣汙染預警應急基礎平台建設,實現空氣質量監測、預報、預警信息及天氣形勢預報信息資源共享,為政府決策提供及時、準確的信息資料。
4.4通信與信息保障。
市應急管理局建立和完善應急指揮和預警係統;市生態環境局建立應急工作相關聯的單位或人員通信信息庫,與市應急管理部門建立信息通信係統,確保應急時期24小時信息通暢。
4.5加強執法監督。
生態環境、住建、公安交警等部門在各自職責範圍內加強對違法排汙的執法力度,切實落實應急預案的減排措施。
5.監督管理
5.1培訓演練。
定期組織開展本預案應急演練,以檢驗應急預案的可行性和有效性。應急演練由大氣汙染應急管理辦公室組織有關部門製定方案,經市大氣汙染應急領導小組批準後組織實施。定期組織開展大氣汙染應急隊伍相關知識、技能的培訓,推廣最新知識和先進技術,培養一批訓練有素的大氣汙染應急預報、監測、處置等專門人才。
5.2宣傳教育。
廣泛開展形式多樣的大氣環境保護宣傳教育活動,提高市民對降低重汙染天氣、促進空氣質量改善的認識,引導社會各界自覺采取汙染減排措施,共同承擔大氣汙染防治的社會責任。確保重汙染天氣預警應急信息有效傳達,提醒市民采取適當的健康防護措施。
5.3監督考核。
對應急響應期間玩忽職守、失職、瀆職的有關責任人,由監察機關會同生態環境部門依據有關規定進行約談,必要時由監察機關依紀依法追究有關單位和人員的責任,對構成犯罪的,依法追究刑事責任。對在重汙染天氣應對工作中作出突出貢獻的單位和個人進行表彰獎勵。
6.附則
本預案自發布之日起實施。《梅州市大氣汙染應急預案》(梅市府辦〔2014〕40號)同時廢止。
本預案由梅州市生態環境局負責解釋。
7.附件







政策解讀:梅州市重汙染天氣應急預案政策解讀
