頁麵:
字體:
對比度:
網站支持IPv6
長者助手
無障礙
繁體版
手機端
微信
網站首頁
亚博ap
政務公開
亚博网址链接
互動交流
亚博app下载ios
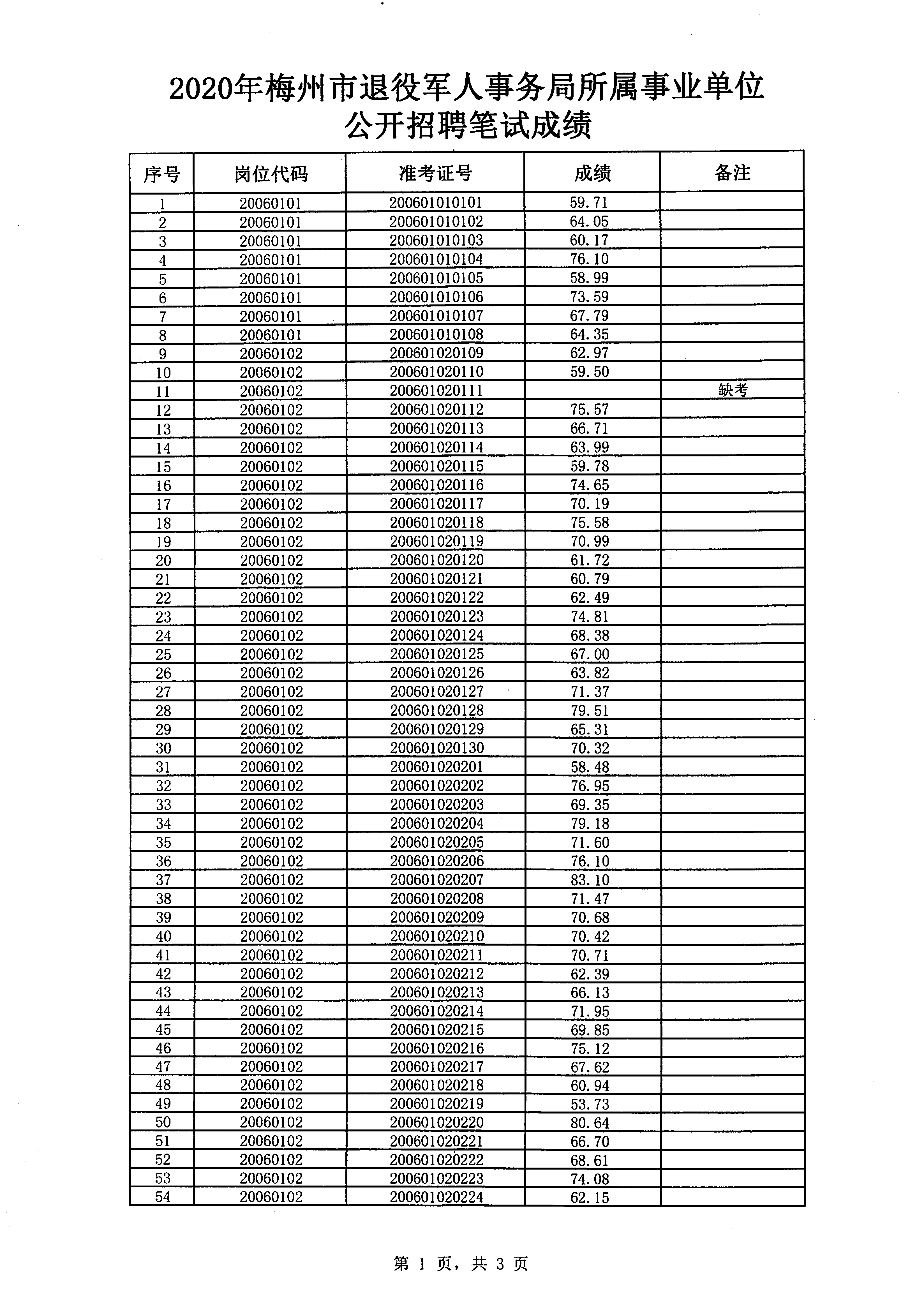
梅州市人民政府門戶網站 梅州市退役軍人事務局 通知公告 2020年梅州市退役軍人事務局所屬事業單位公開招聘筆試成績
頻道首頁
政府信息公開
新聞
公開
服務
互動
市退役軍人事務局
當前位置:
首頁
>
政務公開
>
政府機構
>
市退役軍人事務局
>
公開
>
通知公告
2020年梅州市退役軍人事務局所屬事業單位公開招聘筆試成績
來源:本網
時間:2020-08-13 18:38:15
瀏覽:
-
字號:
大
中
小
分享到: